강의
베르누이 분포
"이항변수"(Binary Varaibles)는 0과 1로 구성된 집합을 치역으로 갖는 확률변수 입니다.





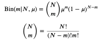
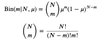
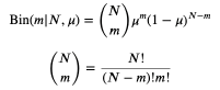
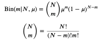
이항 분포


베타 분포




'데브코스 TIL > Machine Learning' 카테고리의 다른 글
| 기초 확률 (0) | 2024.01.31 |
|---|---|
| 기초 선형대수 (0) | 2024.01.30 |
| 머신러닝 소개 (0) | 2024.01.29 |
"이항변수"(Binary Varaibles)는 0과 1로 구성된 집합을 치역으로 갖는 확률변수 입니다.











| 기초 확률 (0) | 2024.01.31 |
|---|---|
| 기초 선형대수 (0) | 2024.01.30 |
| 머신러닝 소개 (0) | 2024.01.29 |